Wydawca treści
Pomniki przyrody
Pomnikami przyrody są pojedyncze twory przyrody ożywionej i nieożywionej lub ich skupienia o szczególnej wartości przyrodniczej, naukowej, kulturowej, historycznej lub krajobrazowej oraz odznaczające się indywidualnymi cechami, wyróżniającymi je wśród innych tworów, okazałych rozmiarów drzewa, krzewy gatunków rodzimych lub obcych, źródła, wodospady, wywierzyska, skałki, jary, głazy narzutowe oraz jaskinie
Do pomników przyrody ożywionej należą: pojedyncze krzewy, drzewa i grupy drzew odznaczające się sędziwym wiekiem, wielkością, niezwykłymi kształtami lub innymi cechami, a także zabytkowe aleje drzew. Natomiast do pomników przyrody nieożywionej należą: największe głazy narzutowe oraz interesujące formy powierzchni ziemi np. - źródła, wodospady, jary, skałki, wywierzyska, przełomy rzeczne, jaskinie, odkrywki itp.

Pomnik przyrody- głaz narzutowy, Leśnictwo Zalesie, fot. zasoby Nadleśnictwa
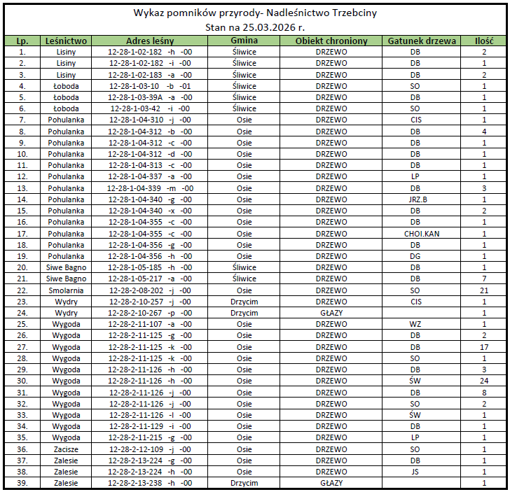
Na terenie Nadleśnictwa Trzebciny znajduje się 39 pomników przyrody, z czego pojedynczych drzew uznanych jako pomniki przyrody jest 24 sztuk natomiast pozostałe 13 pomników przyrody stanowią grupy drzew. Ponadto na terenie leśnictw Zalesie oraz Wydry występują 2 pomniki przyrody w formie głazów narzutowych. Najwięcej pomników przyrody w Nadleśnictwie Trzebciny występuje w leśnictwie Wygoda, gdzie znajduje się 61 okazów pomnikowych drzew. Pozostałe pomniki znajdują się w leśnictwach: Lisiny, Łoboda, Pohulanka, Siwe Bagno, Smolarnia, Wydry, Zacisze oraz Zalesie.
„Najświeższymi” pomnikami przyrody na terenie Nadleśnictwa Trzebciny są ustanowione Uchwałą Rady Gminy Osie z dnia 20.02.2026 r. okazy: Dębu szypułkowego, Choiny kanadyjskiej, Daglezji zielonej, Cisa pospolitego oraz Lipy drobnolistnej w leśnictwie Pohulanka.

Jeden z nowo uznanych pomników przyrody w L. Pohulanka- Daglezja zielona, fot. Wojciech Włodarczyk

Kryteria oraz zakazy dotyczące tej formy ochrony przyrody określa: Rozporządzenie Ministra Środowiska z dnia 4 grudnia 2017 r. w sprawie kryteriów uznawania tworów przyrody żywej i nieożywionej za pomniki przyrody
Mapa Centralnego Rejestru Form Ochrony Przyrody (CRFOP):
https://geoserwis.gdos.gov.pl/mapy/
Najważniejsze, szczegółowe informacje w zakresie prawa ochrony przyrody odnaleźć można w akcie: Ustawa z dnia 16 kwietnia 2004 r. o ochronie przyrody



